|
|
2. 科学家们的登场
如果现在头顶有一片黑压压的雨云,而天上又正刮着北风,把雨云往南吹,那是不是可以预测南方某个地方即将迎来一场大雨?
这是人们依据生活经验或常识的天气预报,但要准确的说出这场雨的具体时间、地点、雨量大小、延续的时间,这就远超出人们的经验和常识了,需要科学家们出场。
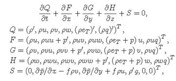
首先出场的是气象科学家们,他们需要发现天气变化的真正奥秘所在,并把这个奥秘清晰的呈现出来。用科学的语言说,那就是气象学家们需要分析出天气变化与哪些因素有关,并用一些数学方程描述出这些因素和天气变化的内在关系。获奖成果中的“大气动力学”方程组就是气象气候中最重要的奥秘之一,它研究的方程长得就像下面图示一样,看起来很复杂。不同的符号代表了不同的物理量,包括速度、气压、湿度等。不同物理量可以千变万化,但不管怎么变化都必须遵循这个方程所限定的规律——是不是有孙悟空翻不出如来佛手掌心的感觉?

获奖成果所针对的大气动力学方程组
气象学家们给出了上面这样的方程,但计算机可没法去理解这个,这个时候就需要计算数学家们出场了。他们的最主要任务是给出求解上面这个方程的计算方法,也就是算法。
首先要做的是离散化。什么是离散化呢?
如果现在要对北京城区的天气情况进行计算预测,需不需要对每一个位置进行预报呢?显然不需要这么“精确”的天气预报。所以通常要对北京地域进行打网格,划分成一个个小格子,每一个小格子内的天气是一样的,这样对北京进行天气预报,其实就是对下面的每一个小格子进行预报。这就是离散化的过程。

对北京地域的离散化/网格化
网格越密,那就意味着预测的精度越高。那为了更精确的预报,是不是越密越好呢?确实是越密越准确,但密到一定程度以后要更密,那就只能是——臣妾做不到呀。那为什么做不到呢?要先看下面的分析,答案在下一页。
北京现在的网格大小是3公里,力争5年到到1公里。也就是说,在每个3公里×3公里的网格区域里,气象局认为天气是一样的。
回到计算数学家们的工作上来,离散化或者网格化是他们工作的第一步,但需要注意的是,实际的网格可不是像上面地图一样是二维的,而是包含了高度的三维网格。
离散化之后,每一个小方格/立方体就是一个独立的个体,有自己的压力、速度、温度、湿度等数值信息。其中有些点的数值是现在知道的,这主要是通过气象站、气象卫星、气象气球等多种途径采集的数据,根据这些已知点的信息,然后“默念”气象学家们给出的大气动力学、大气热力学等方程口诀,就可以计算推演一段时间以后,所有网格点的参数信息。这就是数值天气预报,也就是用计算机算出来的未来天气情况。
计算数学家们最主要的工作,就是将上面的方程翻译成小方格/立方体之间的计算关系。有差分法、有限元法、有限体积法等多种方法,几乎每一种方法都凝聚了全世界大量数学家的智慧,因为一个好的方法,必须满足正确、可靠、稳定、精确、高效等多个条件。
现在,计算数学家将气象学家的神秘的方程口诀变成了可以在计算机上处理的算法了。那下一个出场的,就该是“程序猿”们了。
“程序猿”或者计算机科学家面临的任务,是将算法写成可以在计算机上执行的程序。这听起来好像很简单——打断一下,你听说过天河、神威的大名吗?比如说天河二号,神威•太湖之光?如果没有听过,那你就OUT了;如果听说了,你觉得在这些计算机上写程序是简单的事情吗?要知道,这些可是传说中的超级计算机,而且还是当前世界上最快的两台计算机。什么?有多快,神威•太湖之光相当于普通家用电脑的200万倍!
超级计算机为什么有那么强大的能力呢?其实很简单,那就是“人多力量大”、“团结就是力量”!每台超级计算机都由大量的计算核心(计算节点)组成,计算处理问题时,这些计算核心团结协作,一起努力工作,这就是所谓的“并行计算”。
计算机科学家们的主要任务,就是将计算数学家给出的算法,写成能在超级计算机上高效执行的并行程序。这可不是简单的工作。
计算机科学家们需要指挥、协调众多计算核心,让它们齐心协力,不仅要把工作做对,还要做得快、做得好。“千万核可扩展大气动力学全隐式模拟”,这次杨超和他的小伙伴们使用了超过10000000个核来计算一个问题。
最后需要补充的是,这三类科学家通常身兼多职。例如杨超研究员的工作既可属于计算数学领域,又属于计算机软件领域。事实上,只有身兼多职才有更开阔的视野,才更利于合作、研究以及取得成就。